What is Pixel per inch
PPI Kya hai : PPI का पूरा नाम Pixel per inch होता है ऐवम यह किसी electronic device जैसे की smartphone, monitor, TV आदि screen के pixel density या resolution के बारे मे बताता है | किसी भी phone की PPI देख कर आप उस device की screen sharpness को बता सकते है | ये माना जाता है की जिस phone मे जितना ज्यादा PPI होगा उसकी screen उतनी ज्यादा clear होगी | किसी screen पर ज्यादा PPI होने का सीधा मतलब ये है की एक screen पर pixels को पास पास package करना या कम स्पेस मे ज्यादा pixels का होना |
आज की date मे जहाँ पर visual computing ऐवम visual quality बहुत ज्यादा important हो गयी है तो इसके साथ साथ PPI की importance भी बढ़ गयी है ऐवम companies के लिए ये एक अच्छा marketing tool बन गया है | PPI एक जरुरी metric है लेकिन केवल PPI को ही sharpness or picture quality का benchmark नहीं माना जा सकता क्योकि हमारी आँखों और display के बिच का distance भी picture quality के लिए important role play करता है | अगर आप screen को आपकी eyes के पास लाएंगे तो आप pixel को देख पाएंगे जबकि अगर आप screen को अपनी eyes से दूर ले जायेगे तो एक level के बाद additional pixel density आपके कोई काम की नहीं रहेगी क्योकि आपकी eyes एक distance के बाद इस difference को notice नहीं कर सकती |
Smartphones के case मे आप screen को आपकी eyes के पास रख कर काम करते है जबकि दूसरी बड़ी electronic display device को अलग अलग use के अनुसार दूर रखते है | जैसे की tablet, laptop, computer screen mobile की तुलना मे दूर रहती है जबकि TV ऐवम cinema screen और भी ज्यादा distance पर रहती है | इसलिए ही इन सभी device मे eyes की distance के अनुसार अलग अलग PPI important role play करती है |
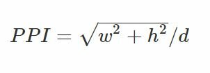
PPI को कैसे calculate करते है : PPI directly display की size (inches) ऐवम horizontal & vertical directions मे total pixel से related है | Pixel per inch को calculate करने के लिए सबसे पहले आपको diagonal pixels पता होने चाहिए जो की Pythagoras theorem का use करके निकले जा सकते है | Diagonal pixels को जब screen size (diagonally) से divide किया जाता है तो PPI मे pixel density निकल कर आती है |
- Diagonal pixels= Square root of the sum of squares of width and height in pixels. (Pythagorean theorem)
2. PPI= (Diagonal pixels)/ (display size in inches)
- या फिर above two steps formula को single step मे ये भी लिख सकते है –

- जहाँ : –
is width resolution in pixels
is height resolution in pixels
is diagonal size in inches (this is the number advertised as the size of the display).
For example : एक 4.5 inch का एक smartphone है जिसका resolution 768 X 1280 है | आइये इस phone की PPI calculate करते है :-
यहाँ पर = 768,
= 1280,
= 4.5 inch
= 7682 + 12802. 7682 + 12802 => 589824 + 1638400 = 2228224 ऐवम इसका square root = 1492.7
- PPI = 1492.7 \ 4.5 = 332 PPI
एक 4.5 इंच के phone के लिए 332 PPI को अच्छा माना जाता है | Click here to use PPI calculator.
मुझे कितनी PPI का phone purchase करना चाहिए : ज्यादातर mid-range के smartphones मे pixel densities या PPI 200-300 के बिच होती है | अगर आप phone पर कुछ study कर रहे है या website browse कर रहे है तो 250-300 Pixel per inch आपके लिए अच्छा है लेकिन अगर आप अपने phone को movies, video songs या फिर games के लिए use करना चाहते है तो आपको कम से कम 320 + PPI का phone use करना चाहिए | यहाँ पर एक बात और बताना जरुरी है की जैसे जैसे आप high PPI की तरफ जाते है आपके mobile के battery performance down होती जाती है क्योकि जितने ज्यादा pixel होंगे उतनी ही ज्यादा power की जरुरत होती है जो की battery से मिलती है |
PPI का cost से क्या relation है : आपका phone जितने ज्यादा PPI का होगा उतना ही ज्यादा महंगा होगा |




Mia3 smartphone ka ppi 268 hai to kya ye achha clear crisp nhi hai